我发现格的很多算法都是源于线性代数,呜呜呜,可怜我上个学期的下半学期没有好好学线代(哭哭咧
施密特正交化
直接放上我的丑陋笔记

LLL算法
据说是将a lattice basis 转换为 LLL-reduced basis,去解决$SVP_\gamma$问题,其中$\gamma=2^{(n-1)/2}$
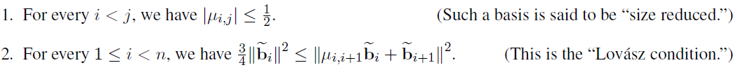
转换方法就是做施密特正交化,但要满足如下两个条件:

简单来说,就是施密特正交化应用到Lattice上时,要求新生成的基底仍然位于Lattice内,因此相减时取整数倍。另外在运行时确保前k个向量近似有序递增,不能满足时交换向量并回退。
while k < n:
# 用前k-1个向量对B[k]进行规约(取整)
if Lovász condition:
k = k + 1
else:
# 交换B[k]与B[k-1] k回退
从这两个条件中可以推出两个结论:


LLL的最广泛应用——small_roots
将方程求解规约到Lattice reduction的过程稍微展开一下,大概就是说有定理给出,对于范数足够小的多项式,有限域与整数域上的根等价,而整数域上的方程求解足够容易,所以若我们想求解有限域下的𝑓(𝑥),则可以寻找范数较小的ℎ = 𝑔𝑓,并从整数域下ℎ的根中筛选出𝑓的根。而在查找ℎ 的过程中,就是以𝑓, 𝑥𝑓, 𝑥^2 𝑓, …作为基础进行线性组合,范数较小 + 线性组合 => Lattice reduction
下面放出sagemath中small_roots函数的源码即注解:
def small_roots(self, X=None, beta=1.0, epsilon=None, **kwds):
r"""
Let `N` be the characteristic of the base ring this polynomial
is defined over: ``N = self.base_ring().characteristic()``.
This method returns small roots of this polynomial modulo some
factor `b` of `N` with the constraint that `b >= N^\beta`.
Small in this context means that if `x` is a root of `f`
modulo `b` then `|x| < X`. This `X` is either provided by the
user or the maximum `X` is chosen such that this algorithm
terminates in polynomial time. If `X` is chosen automatically
it is `X = ceil(1/2 N^{\beta^2/\delta - \epsilon})`.
The algorithm may also return some roots which are larger than `X`.
'This algorithm' in this context means Coppersmith's algorithm for finding
small roots using the LLL algorithm. The implementation of this algorithm
follows Alexander May's PhD thesis referenced below.
INPUT:
- ``X`` -- an absolute bound for the root (default: see above)
- ``beta`` -- compute a root mod `b` where `b` is a factor of `N` and `b
\ge N^\beta`. (Default: 1.0, so `b = N`.)
- ``epsilon`` -- the parameter `\epsilon` described above. (Default: `\beta/8`)
- ``**kwds`` -- passed through to method :meth:`Matrix_integer_dense.LLL() <sage.matrix.matrix_integer_dense.Matrix_integer_dense.LLL>`.
EXAMPLES:
First consider a small example::
sage: N = 10001
sage: K = Zmod(10001)
sage: P.<x> = PolynomialRing(K, implementation='NTL')
sage: f = x^3 + 10*x^2 + 5000*x - 222
This polynomial has no roots without modular reduction (i.e. over `\ZZ`)::
sage: f.change_ring(ZZ).roots()
[]
To compute its roots we need to factor the modulus `N` and use the Chinese
remainder theorem::
sage: p,q = N.prime_divisors()
sage: f.change_ring(GF(p)).roots()
[(4, 1)]
sage: f.change_ring(GF(q)).roots()
[(4, 1)]
sage: crt(4, 4, p, q)
4
This root is quite small compared to `N`, so we can attempt to
recover it without factoring `N` using Coppersmith's small root
method::
sage: f.small_roots()
[4]
An application of this method is to consider RSA. We are using 512-bit RSA
with public exponent `e=3` to encrypt a 56-bit DES key. Because it would be
easy to attack this setting if no padding was used we pad the key `K` with
1s to get a large number::
sage: Nbits, Kbits = 512, 56
sage: e = 3
We choose two primes of size 256-bit each::
sage: p = 2^256 + 2^8 + 2^5 + 2^3 + 1
sage: q = 2^256 + 2^8 + 2^5 + 2^3 + 2^2 + 1
sage: N = p*q
sage: ZmodN = Zmod( N )
We choose a random key::
sage: K = ZZ.random_element(0, 2^Kbits)
and pad it with 512-56=456 1s::
sage: Kdigits = K.digits(2)
sage: M = [0]*Kbits + [1]*(Nbits-Kbits)
sage: for i in range(len(Kdigits)): M[i] = Kdigits[i]
sage: M = ZZ(M, 2)
Now we encrypt the resulting message::
sage: C = ZmodN(M)^e
To recover `K` we consider the following polynomial modulo `N`::
sage: P.<x> = PolynomialRing(ZmodN, implementation='NTL')
sage: f = (2^Nbits - 2^Kbits + x)^e - C
and recover its small roots::
sage: Kbar = f.small_roots()[0]
sage: K == Kbar
True
The same algorithm can be used to factor `N = pq` if partial
knowledge about `q` is available. This example is from the
Magma handbook:
First, we set up `p`, `q` and `N`::
sage: length = 512
sage: hidden = 110
sage: p = next_prime(2^int(round(length/2)))
sage: q = next_prime( round(pi.n()*p) )
sage: N = p*q
Now we disturb the low 110 bits of `q`::
sage: qbar = q + ZZ.random_element(0,2^hidden-1)
And try to recover `q` from it::
sage: F.<x> = PolynomialRing(Zmod(N), implementation='NTL')
sage: f = x - qbar
We know that the error is `\le 2^{\text{hidden}}-1` and that the modulus
we are looking for is `\ge \sqrt{N}`::
sage: from sage.misc.verbose import set_verbose
sage: set_verbose(2)
sage: d = f.small_roots(X=2^hidden-1, beta=0.5)[0] # time random
verbose 2 (<module>) m = 4
verbose 2 (<module>) t = 4
verbose 2 (<module>) X = 1298074214633706907132624082305023
verbose 1 (<module>) LLL of 8x8 matrix (algorithm fpLLL:wrapper)
verbose 1 (<module>) LLL finished (time = 0.006998)
sage: q == qbar - d
True
REFERENCES:
Don Coppersmith. *Finding a small root of a univariate modular equation.*
In Advances in Cryptology, EuroCrypt 1996, volume 1070 of Lecture
Notes in Computer Science, p. 155--165. Springer, 1996.
http://cr.yp.to/bib/2001/coppersmith.pdf
Alexander May. *New RSA Vulnerabilities Using Lattice Reduction Methods.*
PhD thesis, University of Paderborn, 2003.
http://www.cs.uni-paderborn.de/uploads/tx_sibibtex/bp.pdf
"""
from sage.misc.verbose import verbose
from sage.matrix.constructor import Matrix
from sage.rings.all import RR
N = self.parent().characteristic()
if not self.is_monic():
raise ArithmeticError("Polynomial must be monic.")
beta = RR(beta)
if beta <= 0.0 or beta > 1.0:
raise ValueError("0.0 < beta <= 1.0 not satisfied.")
f = self.change_ring(ZZ)
P,(x,) = f.parent().objgens()
delta = f.degree()
if epsilon is None:
epsilon = beta/8
verbose("epsilon = %d"%epsilon, level=2)
m = max(beta**2/(delta * epsilon), 7*beta/delta).ceil()
verbose("m = %d"%m, level=2)
t = int( ( delta*m*(1/beta -1) ).floor() )
verbose("t = %d"%t, level=2)
if X is None:
X = (0.5 * N**(beta**2/delta - epsilon)).ceil()
verbose("X = %s"%X, level=2)
# we could do this much faster, but this is a cheap step
# compared to LLL
g = [x**j * N**(m-i) * f**i for i in range(m) for j in range(delta) ]
g.extend([x**i * f**m for i in range(t)]) # h
B = Matrix(ZZ, len(g), delta*m + max(delta,t) )
for i in range(B.nrows()):
for j in range( g[i].degree()+1 ):
B[i,j] = g[i][j]*X**j
B = B.LLL(**kwds)
f = sum([ZZ(B[0,i]//X**i)*x**i for i in range(B.ncols())])
R = f.roots()
ZmodN = self.base_ring()
roots = set([ZmodN(r) for r,m in R if abs(r) <= X])
Nbeta = N**beta
return [root for root in roots if N.gcd(ZZ(self(root))) >= Nbeta]